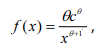
Um indicador que permite avaliar a qualidade dos serviços prestados por uma instituição segue uma distribuição contínua cuja função de densidade é

em que x > c e > 2. Uma amostra aleatória simples X1, X2, …, Xn θ foi retirada dessa distribuição com o propósito de se estimar o parâmetro θ.
Com base nessas informações, discorra sobre os métodos de estimação pontual, abordando, necessariamente, os seguintes aspectos:
< conceito de método de momentos e sua aplicação na situação apresentada; [valor: 9,50 pontos]
< critério da máxima verossimilhança, suas propriedades ótimas e aplicação à situação apresentada. [valor: 9,50 pontos]
Ops! Esta questão ainda não tem padrão de resposta.
Ops! Esta questão ainda não tem resolução em texto.
Ops! Esta questão ainda não tem resolução em vídeo.
Questões Relacionadas
Para comparar as médias de duas populações normais com variâncias distintas, foram extraídas amostras aleatórias simples de cada uma dessas populações. Além disso, essas duas amostras são
independentes entre si. Os resultados proporcionados por essa amostragem se encontram no quadro a seguir. Com base neles, deseja-se testar Ho: u1 = u2 versus H1 : u1 ≠ u2, em que u1 e u2 denotam as médias das populações 1 e 2, respectivamente.


Inferência casual e avaliação de políticas públicas
Para resolver esta questão, considere as informações presentes na tabela seguinte, que mostra a média de homicídios em 202x de municípios dos estados de Rio de Janeiro e São Paulo. No painel superior, esses municípios estão divididos por estado – uma divisão claramente não aleatória. Nota-se uma diferença clara e estatisticamente significante (p-valor 0.000) entre as médias: municípios do Rio de Janeiro tiveram, em média, um número muito maior de homicídios que os de São Paulo.
Média de homicídios por município (202x)

Fonte: DataSus.
Leia mais em: https://repositorio.ipea.gov.br/bitstream/11058/13543/1/BAPI_37_Artigo_10.pdf
Considerando …
A figura acima mostra o resultado de um estudo hipotético que relaciona o logaritmo da renda mensal e a quantidade semanal de horas trabalhadas de 200 pessoas. Além da dispersão dos pontos, essa figura mostra a reta ajustada pelo modelo de regressão linear simples, e a região sombreada representa o intervalo de 99% para a reta ajustada.
Considerando as informações e a figura anteriores, redija um texto dissertativo acerca das diferenças entre intervalo de confiança para a reta de regressão linear simples e intervalo de predição. Ao elaborar seu texto, atenda, necessariamente, o que se pede a seguir.
1 Diferencie intervalo de predição e intervalo de confiança. [valor: 3,50 pontos]
2 Defina o …



