sqd-sistema-de-questoes-discursivas-fundo-escuro-250
Busca por enunciado
Matéria
Banca
Área
Órgão
Ano
Linhas
Q105572 | Química e Engenharia Química
Banca: ITAVer cursos
Ano: 1996
Órgao: ITA - Instituto Tecnológico de Aeronáutica

A-+=
Salvar em caderno (0)
Faça login para salvar Fechar
Meus Cadernos

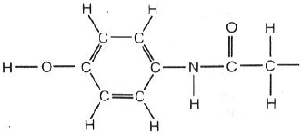
Em relação ao paracetamol, que é um analgésico muito consumido, cuja fórmula é:
 
 
a) Quais os grupos funcionais presentes no paracetamol?
 
b) Quais os tipos de hibridização de cada um dos oito átomos de carbono do paracetamol?
 
c)Quantas e quais são as ligações sigma e pi presentes no paracetamol?
loader-icon

Ops! Esta questão ainda não tem padrão de resposta.

Este campo é para fins de validação e não deve ser alterado.
Quer ver esse conteúdo aqui? Vote abaixo.
Este campo fica oculto ao visualizar o formulário
Este campo fica oculto ao visualizar o formulário
Este campo fica oculto ao visualizar o formulário
Este campo fica oculto ao visualizar o formulário
Este campo fica oculto ao visualizar o formulário

Ops! Esta questão ainda não tem resolução em texto.

Este campo é para fins de validação e não deve ser alterado.
Quer ver esse conteúdo aqui? Vote abaixo.
Este campo fica oculto ao visualizar o formulário
Este campo fica oculto ao visualizar o formulário
Este campo fica oculto ao visualizar o formulário
Este campo fica oculto ao visualizar o formulário
Este campo fica oculto ao visualizar o formulário

Carregando…

Ops! Esta questão ainda não tem resolução em vídeo.

Este campo é para fins de validação e não deve ser alterado.
Quer ver esse conteúdo aqui? Vote abaixo.
Este campo fica oculto ao visualizar o formulário
Este campo fica oculto ao visualizar o formulário
Este campo fica oculto ao visualizar o formulário
Este campo fica oculto ao visualizar o formulário
Este campo fica oculto ao visualizar o formulário

Conteúdo exclusivo para alunos da Academia de Discursivas ou assinantes do Sistema de Questões Discursivas.
  • Este formulário é para reportar erros nesta questão discursivas. Caso tenha dúvidas ou precise de ajuda, clique aqui para ver nossos canais de contato.
  • Este campo fica oculto ao visualizar o formulário
  • Opcional

Questões Relacionadas

MatériaQuímica e Engenharia Química
BancaITA
Explique que tipos de conhecimentos teóricos ou experimentais, já obtidos por outros pesquisadores, levaram A. Avogadro a propor a hipótese que leva o seu nome.

Espaço de Discussão

Converse com outros usuários do SQD

Acompanhar
Notificar
0 Comentários
Antigos
Recentes Votados
Inline Feedbacks
Ver todos comentários